Antes de dar el paso definitivo hacia la compra de una propiedad en condominio, la planificación numérica es el cimiento más importante, especialmente al analizar las opciones de préstamos para proyectos inmobiliarios.
Utilizar herramientas como un simulador de préstamos inmobiliarios no es solo un ejercicio de curiosidad, es una medida esencial para asegurar que el compromiso financiero sea sostenible a través del tiempo.
Muchos compradores cometen el error de fijarse únicamente en la tasa de interés nominal.
Sin embargo, el crédito inmobiliario moderno es una estructura compuesta por múltiples variables que definen el desembolso real mes a mes.
1. El punto de partida: La información necesaria
Para proyectar una cuota precisa en cualquier simulador virtual, es fundamental reunir datos básicos que las entidades financieras en Costa Rica, como el Banco Nacional o el Banco Popular, solicitan de entrada:
- Valor de la propiedad: El precio total del inmueble en el condominio de su elección.
- Monto a solicitar (Principal): El dinero neto que se pide al banco, descontando la prima aportada.
- Plazo: El número de años durante los cuales se extenderá el pago (habitualmente entre 20 y 30 años para vivienda).
- Tasa de interés: El porcentaje efectivo mensual o anual pactado con la institución.
2. Los factores “invisibles” que alteran su cuota
Uno de los mayores vacíos en las respuestas automáticas de los buscadores es la omisión de costos que no forman parte del capital e intereses, pero que son obligatorios.
Al evaluar préstamos para proyectos inmobiliarios, considere lo siguiente:
- Pólizas y Seguros: Las cuotas simuladas a menudo no incluyen seguros de vida o de daños (incendio), lo cual incrementa el pago final facturado por el banco.
- El Costo Anual Total (CAT): No se deje guiar solo por la tasa base, el CAT integra seguros y comisiones, revelando el costo real del dinero.
- Comisiones de administración: Algunos bancos cargan mensualmente pequeños montos por el manejo de la cuenta del préstamo.
3. Anticipando su capacidad de pago real
Una regla de oro en el sector es que la cuota mensual del crédito inmobiliario no debería superar el 30% o 40% de sus ingresos netos. Superar este umbral podría poner en riesgo su salud financiera ante imprevistos.
Recuerde que la mayoría de los bancos financian entre el 80% y el 95% del valor del inmueble.
Por lo tanto, contar con una prima sólida no solo facilita la aprobación de préstamos inmobiliarios, sino que reduce significativamente la carga de intereses a largo plazo.
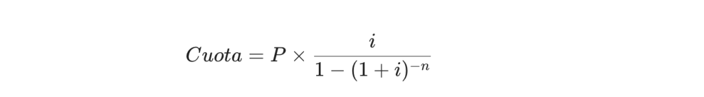
Ejemplo de estructura de cuota (Sistema Francés)
La mayoría de las entidades utilizan la fórmula de amortización francesa, donde las cuotas son fijas, pero la composición entre capital e intereses varía:

Donde P es el principal, i la tasa mensual y n el número total de meses.
En términos simples:
- P = el monto total que pidió prestado
- i = la tasa de interés mensual (la tasa anual dividida entre 12)
- n = el número total de cuotas que va a pagar
Por ejemplo, si financia ₡50 millones a 20 años con una tasa del 10% anual, su tasa mensual sería 0.83%, y eso aplicado a la fórmula le daría una cuota aproximada de ₡482,000 mensuales, fija durante los 240 meses del crédito.
4. Estrategia de selección: Comparar para Ganar
Utilizar simuladores de diferentes bancos permite comparar escenarios antes de firmar cualquier documento.
Un ajuste de apenas un 0,5% en la tasa de interés puede representar ahorros de miles de dólares a lo largo de 20 años.
Además, verifique siempre las condiciones de pago anticipado, ya que esto le permitirá reducir la deuda más rápido si recibe ingresos extra.
Caso de éxito
Haber recibido la atención del asesor, señor Carlos Mora, quien con su paciencia y don de gente, supo guiarnos en el difícil proceso de que nuestros hijos adquirieran su lote, ya que nuestro deseo de padres, es que ellos vivan rodeados de paz.
-Etna Artavia
Ya tiene los números. Ahora el siguiente paso es saber si aplica.
Calcular su cuota es el primer filtro, pero cada banco evalúa el perfil del solicitante de forma distinta, algunos pesan más la estabilidad laboral, otros el historial crediticio, otros la relación cuota-ingreso.
Antes de acercarse a una entidad financiera, vale la pena tener claro en qué banco tiene más probabilidades de aprobación según su situación específica, y qué documentación necesita tener lista para no perder tiempo.
Nuestros asesores hacen exactamente ese análisis. Además, en Urbanizadora Siglo 21 contamos con proyectos como Condominio Distrito San Juan y Condominio Acqua ya cuentan con preaprobación en varios bancos, lo que agiliza el proceso desde el primer día.
Contacte con nuestros asesores hoy mismo y comience a proyectar su futuro con total claridad.


